Contoh Surat Penyerahan Tanah Kepada Ahli Waris


Doc Surat Pernyataan Penyerahan Ahli Waris Vharidz Win Academia Edu


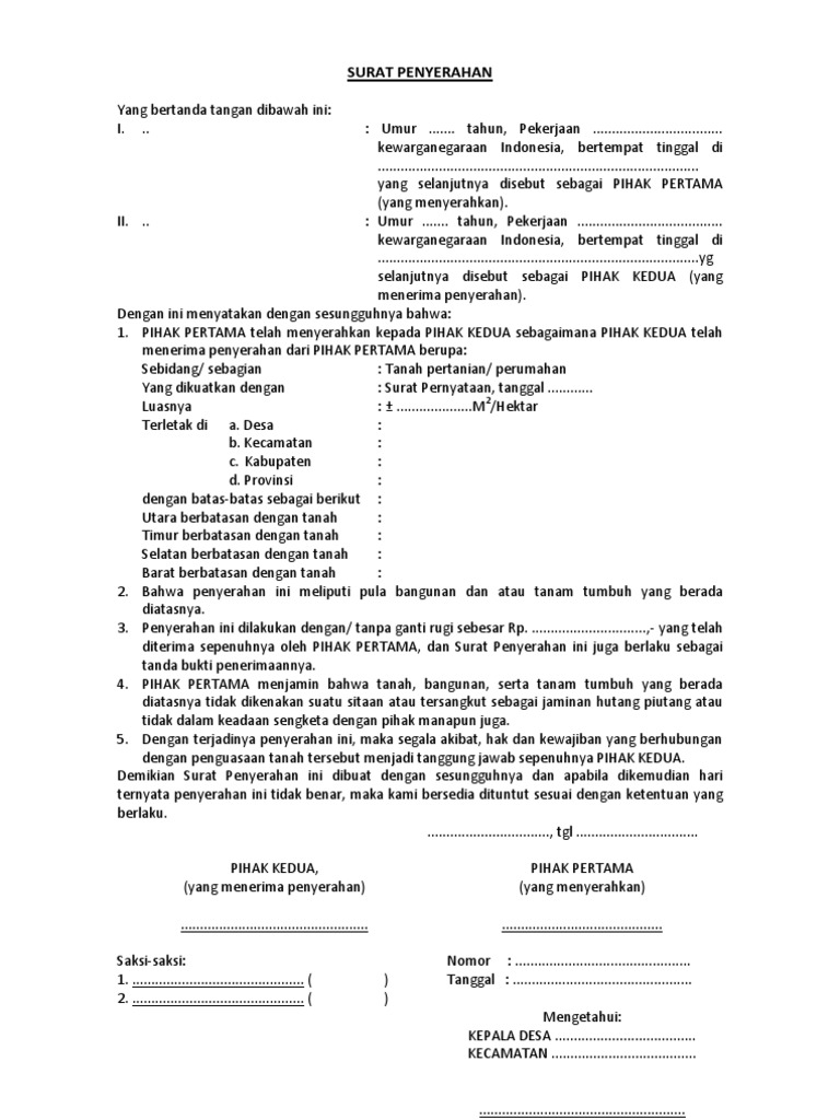
Surat Penyerahan Hak Atas Tanah Perladangan Pdf


Surat Pernyataan Penyerahan Pdf


Contoh Surat Pernyataan Penyerahan Tanah Warisan Otosection


Surat Peryataan Penyerahan Tanah Oleh Ahli Waris

Post a Comment

0 Comments

Ad Code